navigation
日本NIPPON断路器ICP30-N-1-108-7
ICP30/UP30/TP30/TP30G シリーズ
30AF シリーズ

完全電磁式
小型軽量
絶縁性能:強化絶縁/耐電圧4000V/IEC62368準拠
CULUS(UL,CSA),TÜV(EN/IEC),CCC認証品
豊富な接続回路構成と遮断特性
RoHS対応品
| 型名 | ICP30 | UP30 | TP30 | TP30G |
|---|---|---|---|---|
| 認証・規格 ※電安品についてはお問い合わせ下さい。 | CULUS (UL1077) (C22.2 No.235) TÜV(EN60947-2/IEC60947-2) CCC(GB/T14048.2) (過電圧種別:III・汚損度2) | CULUS, CTÜVUS (UL1077) (C22.2 No.235) | ||
| 認証ファイルNo. | CULUS:E62402 CTÜVUS :CU72100613 TÜV:R50132 CCC:2024010307701050 | |||
| 引外し方式 | 完全電磁式 トリップフリー機構 | |||
| 極数 | 1~5極 | 1~6極 | ||
| 定格使用電圧 | AC 50/60Hz 250V DC 65V | AC50/60Hz 250V DC 65V DC125V(2極切) AC50/60Hz 430V(3φ-3線切) AC400Hz 250V(2極切) | ||
| AC50/60Hz 240/415V (3φ‐4WY)については、お問い合わせ下さい。 | ||||
| 標準定格電流 ※右記以外の電流値についても承ります。 | 0.05, 0.1, 0.25, 0.5, 0.75, 1, 1.5, 2, 2.5, 3, 5, 7.5 10, 15, 20, 25, 30, 35(*), 40(*), 50(*)A 35(*), 40(*), 50(*)はUP30のみ適用(詳細は注1参照) | 0.05, 0.1, 0.25, 0.5, 0.75 1, 1.5, 2, 2.5, 3, 5, 7.5 10, 15, 20, 25, 30 35(*), 40(*), 50(*)A (*)は注2参照 | ||
| 定格遮断容量 (ICP30はEN/IEC規格表示) | 1500A/1000A(Icu/Ics) (atAC50/60Hz 250V) 1500A(Icu=Ics) (at DC 65V) | 1000A(at AC50/60Hz 250V) 2000A(at DC 65V) | 1000A(at AC50/60Hz 250V) 2000A(at DC 65V) 1000A(at DC 125V)(2極切) 1000A(at AC50/60Hz 430V)(3φ‐ 3線切) 1000A(at AC400Hz 250V)(2極切) | |
| 開閉寿命 | 10000回以上(定格開閉6000回、無負荷開閉4000回。開閉頻度6回/分) | |||
| 補助・警報回路定格 (抵抗負荷) | 銀接点:AC50/60Hz 250V 5A 金接点:AC50/60Hz 125V 0.1A | 銀接点:AC50/60Hz 250V 5A, DC30V 5A 金接点:AC50/60Hz 125V 0.1A, DC30V 0.1A | ||
| 微少負荷(0.1A以下)で使用される場合は[金接点]を推奨致します。 | ||||
| 耐電圧 (リーク電流1mA以下) | AC50/60Hz 4000V 1分間 リレー形、リレーデュアル形のリレーコイル~主回路間は AC50/60Hz 2000V 1分間 補助・警報回路の接点相互間は AC50/60Hz 600V 1分間 | |||
| 絶縁抵抗 | DC500Vメガーにて 100MΩ以上 | |||
| 基準周囲温度 | 25℃ | |||
| 使用周囲温度 | -40~+85℃(但し、氷結無きこと) デュアル形及び特性カーブ601,608,620は+75℃まで。 50A定格は+70℃まで。 AC400Hz品は+70℃まで こちらの「11.ディレーティングについて」をご覧ください。 | |||
| 許容相対湿度 | 45~85% | |||
| 耐振動 | 98m/s2(MIL-STD-202F-201A) 定格電流通電時(瞬時定格は定格電流の80%通電時) | |||
| 耐衝撃 | 490m/s2(MIL-STD-202F-213B-A) 定格電流通電時(瞬時定格は定格電流の80%通電時) | |||
| ハンドル形状 | トグル形 外形寸法図参照 | |||
| ハンドル表示 | ||||
| ハンドル色 | 黒 又は 白(非標準品) | |||
| 締付けトルク | 取付けネジ(M3):0.4 ~0.6N・m 端子ネジ(M4):1.0~1.2N・m 端子ネジ(M5):1.8~2.2N・m | |||
| 重量 | 1極当り 約60g | |||
| ご使用上の注意 | こちらをご覧ください。 | |||
(注1)AC50/60Hz 250V(cTÜVus認定品、品名末尾に"-Z31"を付記)及びDC65V(cULus認定品)の1~3極に適用(但し、デュアル形は適用外)
但し、DC65V 35A, 40A : 回路記号1はCurve No.1, 8、回路記号2,S2はCurve No.8に適用
DC65V 50A : 回路記号1はCurve No.1, 8, 20、回路記号2,S2はCurve No.8, 20に適用(注2)AC50/60Hz 250V及びDC65Vの1~3極に適用(但し、デュアル形は適用外)
| 回路形式 | 回路記号 | 回路図 | 特記事項 |
|---|---|---|---|
| 直列形 | 1 | ![]() | *も一般的な回路構成で、主接点と直列にコイルが接続されています。スイッチとしても、兼用できます。 |
| 直列形補助回路付 | 2 | ![]() | 直列形と補助回路との組合せです。 補助回路は主回路に連動します。 主回路がONの時にCOM-NOが導通し、 主回路がOFFの時はCOM -NCが導通します。 |
| 直列形警報回路付 | S2 | ![]() | 直列形と警報回路との組合せです。 警報回路はトリップ時にのみ主回路に連動します。 通常はCOM-NOが導通し、トリップ時にのみCOM-NCが導通します。 |
| 並列形 | 5 | ![]() | 接点とコイルの間にタップを設けた3端子構造です。 接点には、*大30Aまで通電可能です。 30Aを超える接点容量が必要な場合はお問い合わせ下さい。 |
| 並列デュアル形 | 5D | ![]() | 直列形のコイルに並列に電圧引外しコイルを付加したデュアル構造です。 外部スイッチにより電源電圧を電圧引外しコイルに印加して、瞬時に引外しをすることができます。 |
| リレー形電流式 | 7C | ![]() | 主回路と電流コイルは絶縁されており、コイル側に接続された負荷の過電流により主回路を遮断します。 コイル定格値が10Aを超える場合はお問い合わせ下さい。 接点には*大30Aまで通電可能です。 30Aを超える接点容量が必要な場合はお問い合わせ下さい。 |
| リレー形電圧式 | 7V | 主回路と電圧コイルは絶縁されており、外部スイッチにより、外部電圧を電圧引外しコイルに印加して、瞬時に引外しをすることができます。 接点には*大30Aまで通電可能です。 30Aを超える接点容量が必要な場合はお問い合わせ下さい。 | |
| リレーデュアル形 | 7D | ![]() | 電流コイルと、絶縁された電圧引外しコイルの両方を持った構造です。 外部スイッチにより、外部電圧を電圧引外しコイルに印加して、瞬時に引外しをすることができます。 |
| スイッチオンリー形 | 9 | ![]() | 引外しコイルを持たないので、単体ではトリップしません。 規格認証品は、トリップ素子を持つ極との組合せにてご使用下さい。 |
| スイッチオンリー形 補助回路付 | 9K | ![]() | スイッチオンリーと補助回路との組合せです。 引外しコイルを持たないので、単体ではトリップしません。 規格取認証品は、トリップ素子を持つ極との組合せにてご使用下さい。 |
(注1)補助・警報回路は端子配列が〔LINE-COM-NO-NC-LOAD〕のリバースタイプも製作可能です。注文方法は品名末尾に銀接点は"(R)"、金接点は"(RG)"を付記して下さい。
(注2)リレー形電圧式の端子配列は〔LINE-C-D-LOAD〕の配列も可能です。回路記号は"7V"を"7VJ"でご指定下さい。(TP30、TP30Gのみ)
(注3)DC125V(2極切)は、プロテクタとリレー形及びスイッチとの組合せをご要望の場合はお問い合わせ下さい。
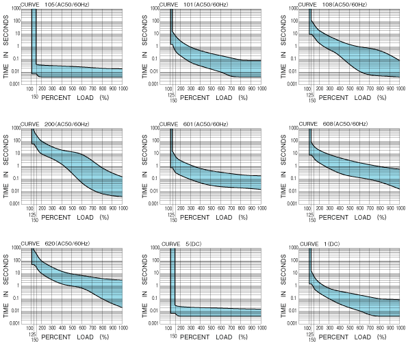
遮断特性表(標準取付け姿勢時)
AT25℃ 単位:秒
| 定格電流値に対する% | |||||||||
|---|---|---|---|---|---|---|---|---|---|
| Curve No. | 100% | 125% | 150% | 200% | 400% | 600% | 800% | 1000% | |
| AC 50/60Hz | 105 | NO TRIP | MAY TRIP | .007~.04 | .004~.035 | .004~.03 | .004~.025 | .004~.02 | .004~.018 |
| 101 | NO TRIP | 1.5~15 | .5~8 | .2~3 | .03~.5 | .01~.2 | .004~.09 | .004~.08 | |
| 108 | NO TRIP | 10~120 | 6~60 | 2~20 | .2~3 | .012~1 | .005~.5 | .004~.08 | |
| 200 | NO TRIP | 60~700 | 30~300 | 10~100 | 1.5~20 | .05~9 | .007~.8 | .004~.15 | |
| 601 | NO TRIP | .8~15 | .35~7 | .2~3 | .05~.7 | .025~.35 | .02~.22 | .015~.18 | |
| 608 | NO TRIP | 8~80 | 4.5~40 | 2~20 | .3~5 | .13~2 | .06~1 | .016~.6 | |
| 620 | NO TRIP | 50~700 | 25~350 | 10~100 | 1.5~15 | .7~7 | .1~4 | .02~3 | |
| DC (リップル5%以下) | 5 | NO TRIP | MAY TRIP | .007~.032 | .004~.024 | .004~.02 | .004~.018 | .004~.016 | .004~.015 |
| 1 | NO TRIP | 1.5~15 | .7~6 | .3~2 | .04~.4 | .011~.2 | .004~.1 | .004~.08 | |
| 8 | NO TRIP | 8.5~120 | 4.5~40 | 1.8~12 | .15~2 | .04~1 | .006~.5 | .004~.15 | |
| 20 | NO TRIP | 40~700 | 20~300 | 8~80 | 1.5~20 | .2~8 | .008~.7 | .006~.15 | |
| AC 400Hz | 405 | NO TRIP | MAY TRIP | .007~.04 | .004~.035 | .004~.03 | .004~.025 | .004~.02 | .004~.018 |
| 401 | NO TRIP | MAY TRIP | .8~15 | .35~6 | .03~1.5 | .006~.25 | .004~.09 | .004~.08 | |
| 408 | NO TRIP | MAY TRIP | 8~90 | 3~40 | .4~7 | .012~2 | .005~.2 | .004~.12 | |
| 400 | NO TRIP | MAY TRIP | 40~500 | 12~150 | 1.2~30 | .012~5 | .006~.25 | .004~.15 | |
TP30G形はAC/DC共用カーブが可能ですのでお問合せ下さい。
遮断特性カーブ


イナーシャルディレイ付特性

取付け姿勢

温度補正

電流引外しコイルのインピーダンスと抵抗表
AT25℃ 単位:Ω
| 定格 電流 (A) | AC50/60Hz インピーダンス | DC 抵抗 | AC400Hz インピーダンス | |||||
|---|---|---|---|---|---|---|---|---|
| Curve105 | Curve 101 108 200 | Curve 601 608 620 | Curve5 | Curve1, 8, 20 | Curve405 | Curve 401 408 400 | ||
| デュアル 専用 | デュアル 専用 | |||||||
| 0.05 | 150 | 432 | 560 | 110 | 400 | 530 | 550 | 690 |
| 0.1 | 40 | 115 | 147 | 24 | 110 | 138 | 240 | 180 |
| 0.25 | 6 | 17 | 27 | 3.5 | 15.6 | 20 | 37 | 27.6 |
| 0.5 | 1.6 | 3.8 | 5.1 | .83 | 3.5 | 4.9 | 10 | 6.7 |
| 0.75 | .7 | 1.5 | 2.5 | .37 | 1.4 | 2.3 | 4.6 | 2.9 |
| 1 | .4 | .9 | 1.2 | .2 | .83 | 1.13 | 2.5 | 1.6 |
| 1.5 | .18 | .4 | .53 | .09 | .37 | .49 | 1.1 | .72 |
| 2 | .11 | .22 | .3 | .06 | .2 | .29 | .64 | .41 |
| 2.5 | .07 | .144 | .2 | .038 | .13 | .19 | .41 | .26 |
| 3 | .05 | .097 | .128 | .023 | .09 | .12 | .3 | .18 |
| 5 | .025 | .041 | .049 | .011 | .038 | .046 | .11 | .07 |
| 7.5 | .01 | .02 | .024 | .0056 | .019 | .023 | .05 | .031 |
| 10 | .0058 | .012 | .013 | .0033 | .011 | .012 | .028 | .017 |
| 15 | .0032 | .0056 | .006 | .0026 | .0056 | .006 | .013 | .008 |
| 20 | .0025 | .0033 | .0042 | .0015 | .0033 | .0042 | .007 | .0044 |
| 25 | .0021 | .0022 | .003 | .0014 | .0022 | .003 | .0036 | .0032 |
| 30 | .002 | .0021 | .0025 | .00135 | .0021 | .0025 | .0032 | .0022 |
| 40 | .0018 | .0017 | - | .0012 | .0017 | - | - | - |
| 50 | .0016 | .0014 | - | .0011 | .0014 | - | - | - |
許容差:±25%(20A以下), ±50%(25A以上)
電圧引外しコイルのインピーダンスと抵抗表
AT25℃ 単位:Ω
| 定格電圧(V) | リレー形電圧式(7V) | 並列デュアル形(5D) リレーデュアル形(7D) | ||
|---|---|---|---|---|
| AC50/60Hz インピーダンス | DC 抵抗 | AC50/60Hz インピーダンス | DC 抵抗 | |
| 6 | 17 | 11 | 0.68 | 0.63 |
| 12 | 70 | 45 | 2.8 | 2.5 |
| 24 | 220 | 140 | 12 | 11 |
| 32 | 400 | 310 | 19 | 17.5 |
| 48 | 860 | 580 | 45 | 41 |
| 100 | 3000 | 2000 | 210 | 200 |
| 200 | 14000 | 9300 | 700 | 680 |
許容差:±25%
電圧式プロテクタについて
電圧式プロテクタは、外部信号により回路を遮断することができます。引外しコイルは常時無負荷の状態で、外部からの電圧信号により回路を瞬時に遮断します。
電圧式プロテクタの性能
| リレー形電圧式(7V) | 並列デュアル形(5D) リレーデュアル形(7D) | |
|---|---|---|
| 引外し電圧 | 定格電圧のACは80%以上 DCは75%以上 | 定格電圧のACは90%以上 DCは90%以上 |
| コイルに対する 許容連続印加時間 | 定格電圧で30秒以内 | 定格電圧で1秒以内 |
| 使用温度範囲 | -40~+85℃ | -40~+75℃ |
| 遮断時間 | 0.04秒以内 | 0.04秒以内 |
"コイルに対する許容連続印加時間"を超えて電圧を印加するとコイルが断線(焼損)しますのでご注意願います。
Copyright





所有产品分类










友情链接Link

